Laiduntamisen etäisyyshaitta

Laiduntamisessa etäisyyshaitalla tarkoitetaan sitä lisäkustannusta, joka on laskettavissa uuden laidunkuljetusreitin vaatiman lisätyöajan perusteella. Kustannuksen suuruus riippuu kuljetettavasta karjamäärästä, kuljetusmatkan pituudesta ja siihen kuluvasta ajasta sekä lohkon osalle tulevien laidunpäivien lukumäärästä. Korvaus lasketaan uuden ja vanhan tilanteen erotuksena tai pidentyneen matkan perusteella.

Etäisyyshaitan korvaus laidunpäivää kohti on laskettu seuraavalla kaavalla (menomatka ja paluumatka/päivä):

Kl = etäisyyshaitan korvaus (€/laidunpv)
kja = karjankuljettajien lukumäärä
L   = kuljetettavien lehmien lukumäärä
sl  = laitumen keskietäisyys (km)
Ht  = kuljettajan työtunnin hinta.

Taulukko laiduntamisen etäisyyshaitasta.

Uudempia selvityksiä lehmien laiduntamisen työnmenekistä löytyy Reetta Palvan julkaisuista (mm. Palva 2006). Palvan tulokset siirtoajoista eivät oleellisesti poikkea edellä esitetyn kaavan tuloksista.

Laidunpäivät

Laidunpäivien lukumäärä on kaikilla laidunnettavilla lohkoilla yhteensä 100–130 päivää vuodessa. Laitumen tarve vaihtelee 0.20 - 0.55 ha/eläinyksikkö. Eläinyksikkökohtainen laidunpinta-alan tarve kasvaa syksyä kohden. Laiduntarpeeseen vaikuttavat mm. tilakohtaiset ratkaisut, lehmien maitotuotos, laidunten hoito, mahdollinen lisäruokinta ja laitumen kasvuolosuhteet.

Eläimet muutetaan eläinyksiköiksi oheisen taulukon mukaan. Yhden lohkon osalle tulevien laidunpäivien arvioimista varten lasketaan ensin eläinten tarvitsema kokonaislaidunala. Lohkon pinta-ala jaetaan sitten ko. laidunalalla ja kerrotaan vuosittaisella laidunpäivien lukumäärällä.

Taulukko 1. Eläinyksiköiden muuntokertoimet. Lähde: VN:n asetus 37/2010.

Eläin

Kerroin

Lypsylehmät
Emolehmät
Muut naudat, yli 2 vuotta
Muut naudat, 6 kk -2 vuotta

1,00
1,00
1,00
0,60

Uuhet
Kutut

0,15
0,48

Hevoset, yli 6 kk
- siitostamma, myös ponitammat
- suomenhevonen
- 1-3 v. muut hevoset ja ponit


1,00
0,85
0,60

 

Jos on kyse pelkästään lehmistä ja naudoista, voidaan myös käyttää nimitystä nautayksikkö (ny).

Esimerkki 1

Lohkon pinta-ala on 2 ha. Tilalla on 8 lypsylehmää ja 4 nautaa, joiden ikä on 6 - 9 kk. Vuodessa on keskimäärin 115 laidunpäivää. Kuinka monta laidunpäivää tulee ko. lohkon osalle?

Eläinyksiköiden lukumäärät:
8 lypsylehmää = 8 ny
4 nautaa (6 - 9 kk) = 4 x 0,6 = 2,4 ny -> yht. 10, 4 ny

Laidunala: 10,4 ny x 0,5 ha/ny = 5,25 ha
Päivät:  2 ha / 5,25 ha x 115 laidunpv = n. 44 laidunpäivää

Karjan kuljetus

Karjan kuljettajien lukumäärä riippuu karjan koosta ja kulkuyhteydestä laitumelle. Laskelmissa oletetaan, että karjan kuljetuksessa laitumelle käytetään omaa työvoimaa. Pienen karjan kuljettamisen katsotaan vaativan yhden ja ison karjan kaksi henkilöä, joista toinen voi olla alaikäinen. Karjan kuljettajan kävelynopeutena ilman karjaa voidaan pitää 5 km/h.

Jos lehmät ovat pidempiä ajanjaksoja talouskeskuksesta erillisellä laidunalueella, jonne on järjestetty lypsypaikka, on myös karjan hoitajien päivittäiset matkat korvattava.

Tarkkailumatkat

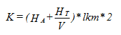
Etäisyyshaitan korvaukseen tulisi vielä lisätä tarkkailusta, juotosta ja aitojen kunnossapidosta aiheutuvat matkat, joita ei voida yhdistää karjan kuljetusmatkoihin. Ylimääräisistä matkoista aiheutuva kustannus voidaan laskea kaavalla:

 

K = kustannus €/ laitumen etäisyys km)
HA = työkonekustannus €/km
HT = työtunnin kustannus €/h
V = nopeus km/h
lkm = matkojen lukumäärä

Esimerkki 2

Tarkkailu- ja kunnossapitomatkoja on vuodessa noin 3 edestakaista matkaa laidunhehtaaria kohti.
Kun nopeutena käytetään 12,5 km/h , työtunnin hintana (oma työ) 13,0 €/h ja  traktorin (pikkutraktori) kustannuksena  marginaalikustannusta, 14,3 €/h, saadaan tarkkailumatkoista aiheutuvaksi vuotuiseksi kustannukseksi  3*2*(13,0 €/h + 14,3 €/h)/12,5 km/h =13,1 €/km. (vuoden 2015 hintataso).

Sovellusohjeita

Korvausta arvioitaessa lähtökohtana on arviointihetkellä tilalla oleva karjamäärä. Kuitenkin on syytä arvioida myös tilan tulevaisuutta ja karjamäärää jatkossa. Sen muutokset ajan funktiona otetaan huomioon kustannusten nykyarvoa laskettaessa (”pääomituskerroin”).

Lähteet

ref. Effekten av varierande fältutformning. Stockholm 1963. Betänkande avgivet av arronderingsutredningen.s.32.

Välisalmi, Paavo & Mattila, Päivi & Asikainen, Rauno: Maa- ja metsätaloushaittojen ja vahinkojen arviointiperusteista lunastustoimituksissa. VTT, maankäytön laboratorio, tiedonanto 26. Espoo 1978.

Alasuutari, Sakari, Manni, Katariina & Rautala, Helena. Lypsylehmän ruokinta ja hoito. Opetushallitus. 2007.

Palva, Reetta.  2006. Lehmien laiduntamisen työnmenekki ja laidunalan riittävyys laajentavissa karjoissa.
Julkaisussa: Maataloustieteen Päivät 2006 [verkkojulkaisu]. Suomen Maataloustieteellisen Seuran julkaisuja no 21. Toim. Anneli Hopponen. Julkaistu 9.1.2006. ISBN 951- 9041-49-4.

Lait

Liikennevakuutuslaki 37 § 3 momentti

Tieliikennelaki 53 §:
Eläimen kuljettaminen

Eläin on pidettävä tiellä kytkettynä tai tienkäyttäjän on valvottava eläintä siten, ettei se aiheuta vaaraa eikä huomattavaa haittaa muille tienkäyttäjille. Eläintä tulee kuljettaa niin lähellä tien reunaa kuin turvallisuutta vaarantamatta on mahdollista.
Ratsastajan, suurikokoisen eläimen taluttajan ja eläimen vetämän ajoneuvon kuljettajan on noudatettava moottorikäyttöisellä ajoneuvolla ajamista koskevia liikenteenohjauksen merkkejä, liikenteenohjauslaitteita ja liikennesääntöjä. Ratsastaja ja suurikokoisen eläimen taluttaja saa tilapäisesti poiketa tässä momentissa mainituista säännöistä, jos erityiset olosuhteet sitä vaativat eikä siitä aiheudu vaaraa eikä huomattavaa haittaa.